pacific drilling stock prediction
It is listed on the New York Stock Exchange trading as PACD. Pacific Drilling is an offshore ultra-deepwater drilling company.
Diamond Offshore Stock Strong Buy On Discounted Valuation Seeking Alpha
Rooms Rankings Earnings Newsletters Shop.
. Pacific Drilling SA Stock Market info Recommendations. Wall Street Stock Market Finance report prediction for the future. PACD stock forecast Our latest prediction for Pacific Drilling SAs stock price was made on the June 10 2020 when the stock price was at 057.
In the short term 2weeks PACDs stock. Buy CRYPTO Page 1. Pacific Drilling SA Price PACDQ Daily Price Prediction Charts.
The current PACD price target is 000. Oct 19 2022 The Expresswire -- Managed Pressure Drilling Services Market Insights 2022 By Types Applications Regions and Forecast to 2028. During the day the stock.
Pacific Drilling SA Stock Price Forecast PACDD Predictons for2021. Real-time trade and investing ideas on Pacific Drilling SA PACD from the largest community of traders and investors. Buy or sell Pacific Drilling stock.
Consensus analyst ratings for stocks. PACD stock forecast Our latest prediction for Pacific Drilling SAs stock price was made on the June 10 2020 when the stock price was at 057. PACD Stock Price NYSE Forecast Predictions Stock Analysis and Pacific Drilling SA News.
The company was founded in 2006 by Idan Ofer a billionaire. Pacific Drilling SA Stock Price Quote NYSE. Stay up to date on the latest stock price chart news analysis fundamentals trading and investment tools.
Learn why top analysts are making this price prediction for Pacific Drilling at MarketBeat. Toggle navigation Toggle navigation. Youll find the Pacific Drilling.
A high-level overview of PACIFIC DRILLING SA PACDQ stock. Pacific Drilling PACD Quote Overview More Research Pacific Drilling PACD Price Target Stock Forecast Trades from 1 Pacific Drilling SA. LUXEMBOURG-- BUSINESS WIRE-- Q1earnings--Pacific Drilling SA.
Pacific Drilling SA Stock Forecast and Price Prognosis Data for 2021. Pacific Drilling SA Stock Price Quote Wednesday 8th Dec 2021 PACD stock ended at 023. In the short term 2weeks.
Pacific Drilling SA Stock Market info Recommendations. Buy or sell Pacific Drilling stock. Stay up to date on the latest stock price chart news analysis fundamentals trading and investment tools.
View Pacific Drilling SA PACD investment stock information. Youll find the Pacific Drilling. Wall Street Stock Market Finance report prediction for the future.
PACD Pacific Drilling or the Company today reported results for the first quarter of 2020. Get the latest Pacific Drilling SA PACD detailed stock quotes stock data Real-Time ECN charts stats and more. A high-level overview of Pacific Drilling SA.
Stock Forecasts NSE Top 5 NSE Stock Forecasts.
Pacdq Stock Forecast Price News Pacific Drilling
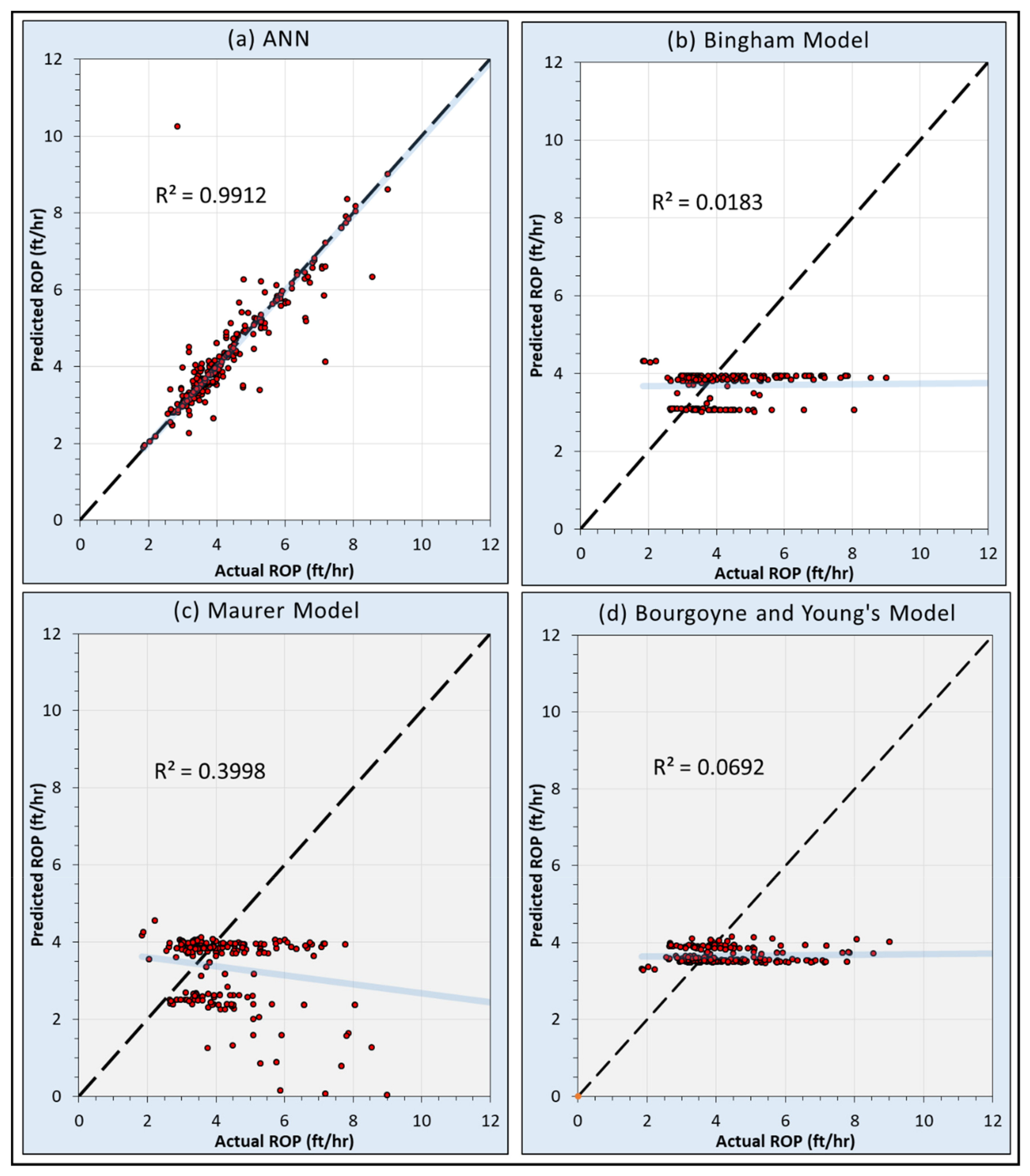
Sustainability Free Full Text New Artificial Neural Networks Model For Predicting Rate Of Penetration In Deep Shale Formation Html
Pacific Drilling Sa Pacd Stock 5 Years History Returns Performance
Lpx Stock Forecast Price News Louisiana Pacific
Pacific Drilling With Only One Rig Left In Operation Investors Need To Prepare For Another Debt Restructuring Nyse Pacd Seeking Alpha
Stock Price Prediction Using Multi Scale Nonlinear Ensemble Of Deep Learning And Evolutionary Weighted Support Vector Regression
Ifny Stock Forecast Price News American Noble Gas
Stock Price Prediction Using Multi Scale Nonlinear Ensemble Of Deep Learning And Evolutionary Weighted Support Vector Regression
Pacific Drilling Files For Chapter 11 Bankruptcy Again
Portugal S Galp Quarterly Profit Surges But Still Misses Forecast Reuters
Sustainability Free Full Text New Artificial Neural Networks Model For Predicting Rate Of Penetration In Deep Shale Formation Html
Applied Sciences Free Full Text Application Of Soft Computing Techniques To Estimate Cutter Life Index Using Mechanical Properties Of Rocks Html
Stock Price Prediction Using Multi Scale Nonlinear Ensemble Of Deep Learning And Evolutionary Weighted Support Vector Regression
Pacific Drilling Stock Price Today Otc Pacdq Live Ticker Investing Com
Worldwide Oil And Gas Industry To 2031 Identify Growth Segments For Investment
Pacific Plate Motion Change Caused The Hawaiian Emperor Bend Nature Communications
